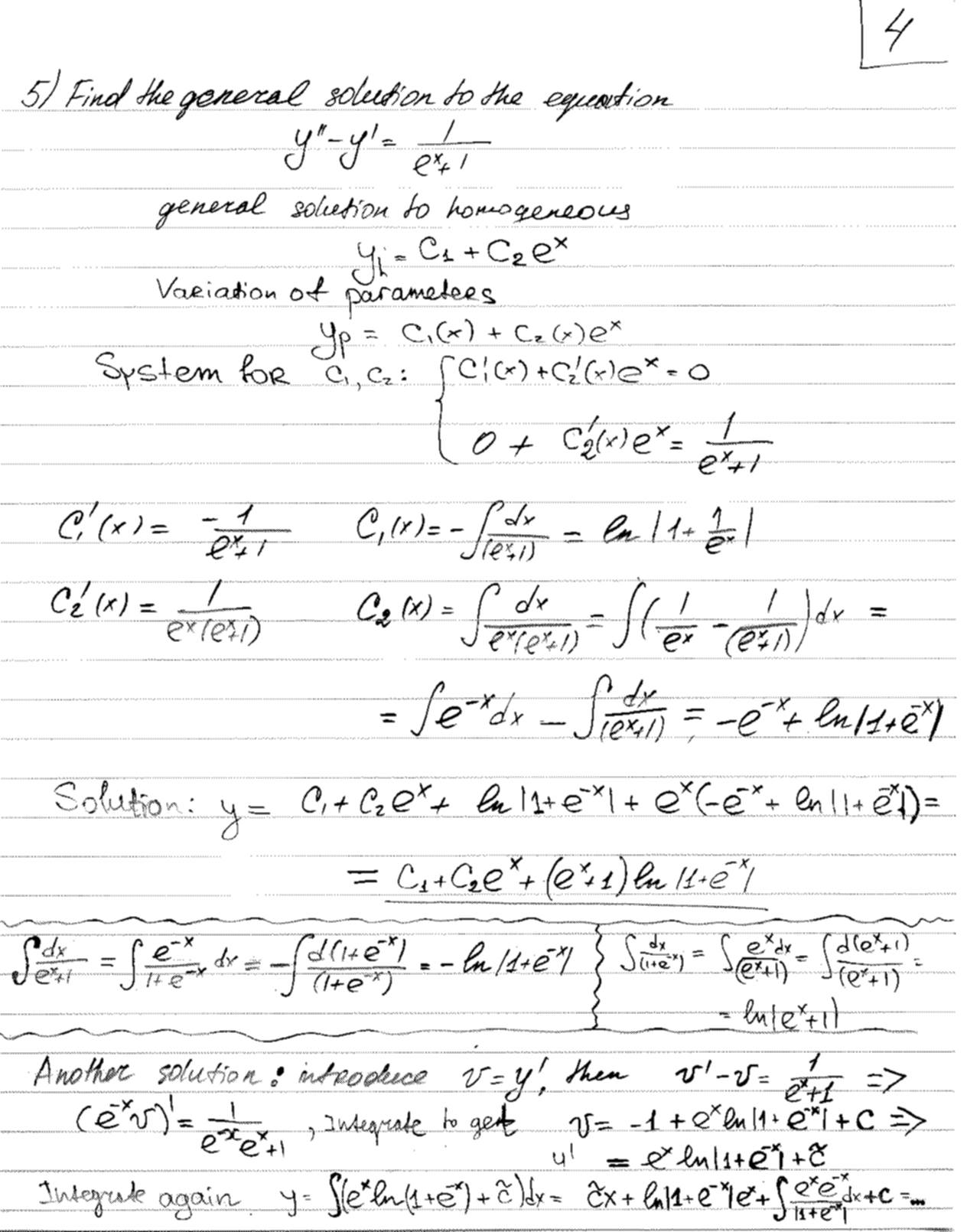
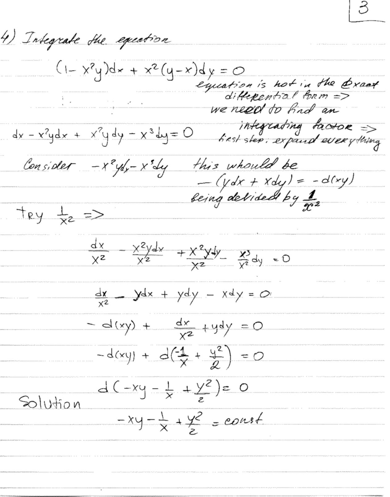
The solution to the midterm
#1, #2 #2(cont), #3 #4 #5