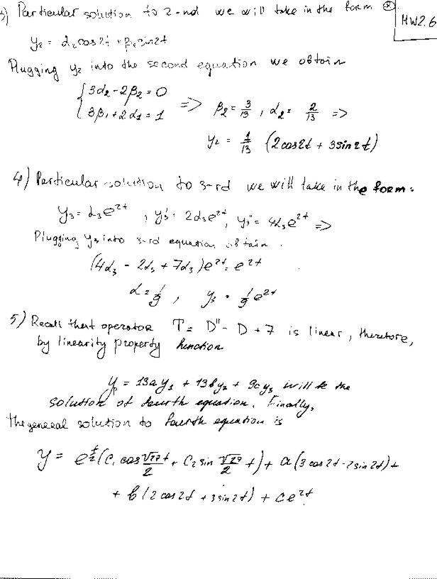
The solution to homework #02
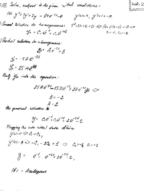
[6.1] #2 [6.1] #10 [6.2] #1,4 [6.2] #4(cont) [6.5] #4 [6.5] #4(cont)
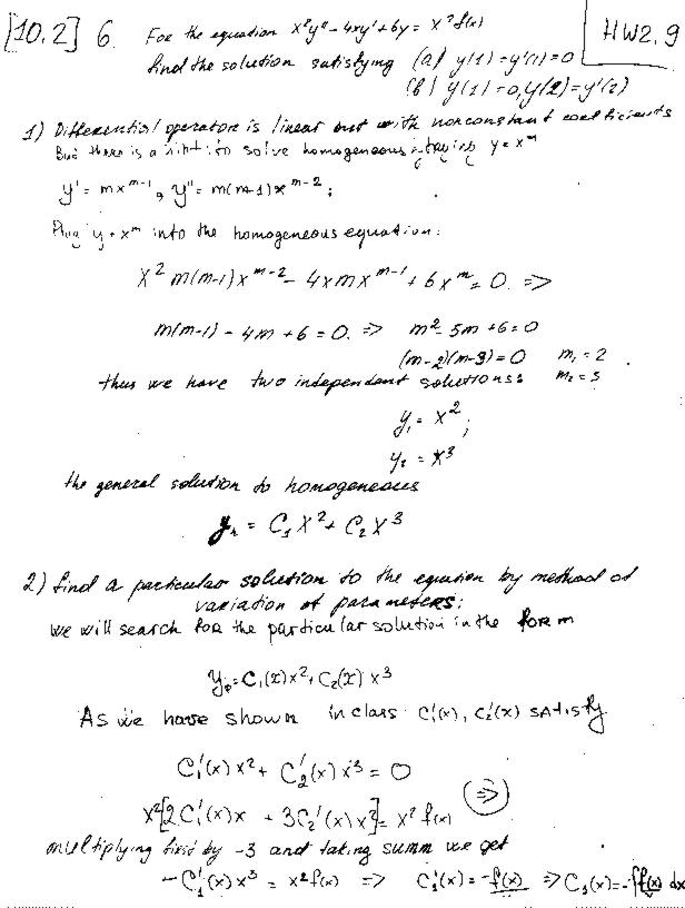
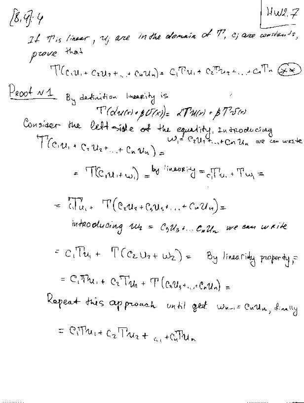
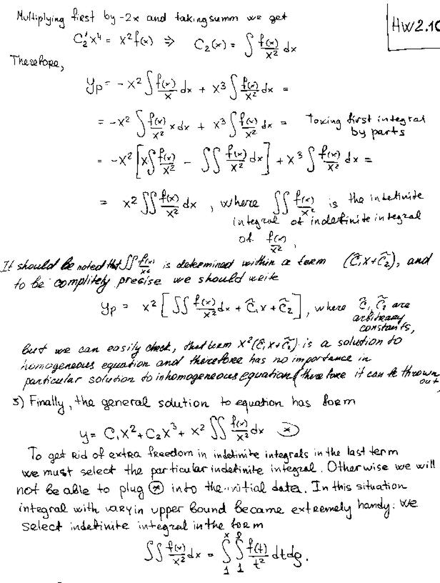
[8.1] #4 [8.4] #4 [8.4] #4(cont) [10.2] #6 [10.2] #6(cont) [10.2] #6(cont)
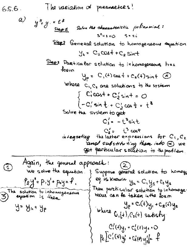
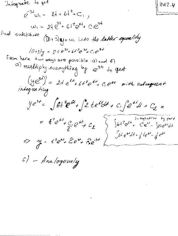
[6.5] #6